Կենսաբանություն առարկան ինձ դուր եկավ, և ես այս ուսումնական շրջանում հասկացա, թե ինչպիսի հետաքրքիր առարկա է կենսաբանությունը։Ես այս առարկայից կատարել եմ բոլոր աշխատանքները, սա էլ հղումը- https://ghazaryan.home.blog/category/կենսաբանություն/ ։
Month: Դեկտեմբեր 2020
Կենսաբանություն
Կրկնակի բեղմնավորում, ծածկասերմ բույսերի սեռական պրոցես, բեղմնավորվում են ձվաբջիջը և սաղմնային պարկի երկրորդային կորիզը։ Բացահայտել է ռուս գիտնական Ա. Նավաշինը (1898 թվականին), բույսերի 2 տեսակի՝ շուշանի և արքայապսակի վրա կատարած հետազոտությունների ժամանակ։ Սաղմնային պարկը 8-կորիզանի բջիջ է, յուրաքանչյուր բևեռում 4-ական։ Բևեռներից մեկական կորիզ շարժվում է դեպի կենտրոն և կազմում բևեռային կորիզներ։ Մեկ բևեռում մնացած 3 կորիզներից մեկը դառնում է ձվաբջջի կորիզ, մնացածները քայքայվում են։

Հայոց լեզու
Животные Австралии
Австралия — изолированный материк с середины мелового периода, а это примерно 40 миллионов лет назад. Поэтому и животные в Австралии удивительные: 80-90% видов в каждом классе животных — эндемики, то есть не встречаются больше нигде в мире. Прекрасный Мир составил для вас подборку интересных животных Австралии. Убедитесь и вы в их уникальности.
Ավստրալիայի կենդանիները
Ավստրալիան մեկուսացված մայրցամաք է կավճե դարաշրջանի կեսերից, որը մոտ 40 միլիոն տարի առաջ էր: Ուստի Ավստրալիայում կենդանիները զարմանալի են: Կենդանիների յուրաքանչյուր դասի տեսակների 80-90% -ը էնդեմիկ է, այսինքն ՝ դրանք աշխարհի ոչ մի այլ վայրում չեն հանդիպում:Հրաշալի աշխարհը ձեզ համար կազմել է Ավստրալիայի հետաքրքիր կենդանիների ընտրանին: Համոզվեք, որ նրանք եզակի եք:
https://prekrasnij-mir.ru/priroda/animals/zhivotnye-avstralii/
Շաքարավազի թռչող սկյուռը կաթնասուն թռչող սկյուռիկների ընտանիքից է: Դա փոքրիկ սկյուռանման կենդանի է: Նրա մարմնի երկարությունը 15-21 սմ է, քաշը `95-170 գրամ: Ակտիվ է գիշերը: Սնվում են հիմնականում էվկալիպտի և ակացիաների հյութով, նեկտարով և մրգերով, միջատներով և փոքր անողնաշարավորներով:
Հանրահաշիվ





Աշխարհագրություն
Արդյունաբերություն
1.Որո՞նք են արդյունաբերության հին և նոր ճյուղերը:
Հին ճյուղեր են մետաղաձուլությունը և թեթև արդյունաբերությունը, իսկ
նոր ճյուղեր են
Ավտոմեքենաշինություն
Գազի արդյունաբերություն
Գյուղատնտեսության տնտեսագիտություն
Գունավոր մետալուրգիա
Էլեկտրաէներգետիկա
Ծանր արդյունաբերություն
Կահույքի արդյունաբերություն
Հանքաարդյունաբերություն
Հաստոցաշինություն
2․ Նշեք արդյունաբերության այն ճյուղերը, որոնք դուք առաջնային եք համարում:
Առաջնային ճյուղեր համարում եմ մետաղական հանքարդյունաբերություն, մետաղագործական արտադրություն, սննդամթերքի արտադրություն, ակնագործություն և ոսկերչություն, մեքենաշինություն, սարքաշինություն
, էլեկտրատեխնիկական արդյունաբերությանև այլն։
3․ Որո՞նք են արդյունաբերության զարգացման նախադրյալները:
Առաջարկ և պահանջարկ
Գրականություն
Կարդա՛
Կաղանդի ծառ մը
Կաղանդի ծառ մը շտկելու համար
Երկու բան պետք է
Նախ ծառ մը – հետո զարդեր ծառին վրա
Կաղանդի ծառ մը շտկելու համար
Երեք բան պետք է
– Ծառեն զարդեն զատ
Հավատքը գալիք աղվոր օրերու
Կաղանդի ծառ մը շտկելու համար
Մեկ բան կը բավե – ոչ ծառ ոչ ալ զարդ –
Ատիկա խիճերն ադամանդ կարծող
Միամիտ հոգվույս բարի խաբկանքն է
Կաղանդի ծառ մը շտկելու համար
Արդեն պատրանքը լրիվ կը բավե
Բարի տարի ձեզ և բարի պատրանք:
Հեղինակ՝ Զահրատ
1. Կարդա՛ և մեկնաբանի՛ր բանաստեղծությունը:
Բանաստեղծությունը Տոնածառ զարդարելու մասին է։
2. Բացատրի՛ր բառերը, փոխադրի՛ր արևելահայերեն:
Կաղանդ-Նոր տարի, Ամանոր
աղվոր-սիրուն, լավ
շտկելու-ուղղելու
բավե-ծայր, սահման
ալ-մուգ կարմիր
խաբկանք-խաբել, խաբվել
պատրանք-ներշնչում
3. Ի՞նչն ես կարևորում Ամանորին, ի՞նչն է տխրեցնում Ամանորին:
Իմ կարծիքով Ամանորը կարևոր է նշել, որովհետև երեխաները պետք է երջանիկ լինեն։
Հայոց լեզու
Թարգմանություն
Эту гору считают священной для армянского народа, но не многие знают, что, если смотреть на гору и границы Армении в территориальном плане, то они никак не связаны между собой. С 1921 года гора Арарат находится в Турции, но разве ее не пренадлежность к Армении дает народу не любить ее? Ее красоты воспеваются армянами постоянно и там действительно есть на что полюбоваться.
Այս լեռը հայ ժողովրդի համար սրբազան է համարվում, բայց շատերը չգիտեն, որ եթե տարածքով եք նայում սարին և Հայաստանի սահմաններին, դրանք ոչ մի կերպ կապված չեն միմյանց հետ: 1921 թվականից Արարատ լեռը գտնվում է Թուրքիայում, բայց արդյոք նրա պատկանելությունը Հայաստանինը չի՞ և ստիպու՞մ է մարդկանց չսիրել դա: Հայերն անընդհատ գովում են նրա գեղեցկությունը, և հիանալու բան իսկապես կա:
Հանրահաշիվ



Հանրահաշիվ



Երկրաչափություն



Հայոց լեզու
Դասարանում
Ընտրի՛ր վերնագրերից մեկը և գրի՛ր շարադրություն
- Տարեմուտի մտքեր
- Ետ մի՛ նայիր
- Հրաշքի սպասելիս
- Երբ մոտենում է Ամանորը
Երբ մոտենում է Ամանորը
Ամանորը կարծում եմ շատերի ամենասիրելի տոնն է։ Երբ մոտենում է ամանորը , մարդկանց տրամադրությունը ինքնըստինքյան բարձրանում է, մարդկանց մեջ մտնում են դրական լիցքեր։ Այդ օրերին ամեն ինչ տրամադրում է ժպտալուն ՝ զարդարված տներ, դպրոցներ, ամանորյա երաժշտություն, ֆիլմեր։ Ամանորին բոլորը ստանում են նվերներ, դա էլ մի մեծ պատճառ է, որպեսզի սիրենք այս տոնը։ Ամենից շատ սիրում եմ, երբ Ամանորին մնում է հինգ րոպե և թվում է, թե այդ հինգ րոպեն տևում է ավելի երկար, քան ամբողջ տարին։ Երբ Ամանորին մնում է մեկ ամիս արդեն, սկսում եմ հաշվել օրերը։ Ամանորին իմ ամենասիրելը պահը տոնածառի զարդարումն է։ Երբ տոնածառը արդեն պատրաստ է, տրամադրությունս մի քանի անգամ բարձրանում է։Ամանորը սիրելու համար պատճառներն անվերջ են։
Русский язык
3. Прочитайте текст
Бабочка
Однажды в коконе появилась маленькая щель, случайно проходивший мимо человек долгие часы стоял и наблюдал, как через эту маленькую щель пытается выйти бабочка.
Прошло много времени, бабочка как будто оставила свои усилия, а щель оставалась такой же маленькой. Казалось, бабочка сделала все что могла, и что ни на что другое у нее не было
больше сил.
Тогда человек решил помочь бабочке, он взял перочинный ножик и разрезал кокон. Бабочка тотчас вышла. Но ее тельце было слабым и немощным, ее крылья были прозрачными и едва двигались.
Человек продолжал наблюдать, думая, что вот-вот крылья бабочки расправятся и окрепнут и она улетит. Ничего не случилось!
Остаток жизни бабочка волочила по земле свое слабое тельце, свои нерасправленные крылья. Она так и не смогла летать.
Человек, желая помочь бабочке, не понимал того, что усилие, чтобы выйти через узкую щель кокона, необходимо ей, чтобы жидкость из тела перешла в крылья и чтобы бабочка смогла летать. Жизнь заставляла бабочку с трудом покидать эту оболочку, чтобы она могла расти и развиваться.
Иногда именно усилие необходимо нам в жизни. Если бы нам позволено было бы жить, не встречаясь с трудностями, мы были бы обделены. Мы не смогли бы быть такими сильными, как сейчас. Мы никогда не смогли бы летать.
Что можно еще добавить?
Всегда ли нужна помощь?
4. Грамматический материал.
Правописание корней с чередованием гласных а – о (-кас- (-кос-), лаг- (-лож-).

5. Расставьте пропущенные буквы
Отложить, положить, приложить, предпологать, излагать, расположиться, владение, слагаемые, полаг, предположить; касаться, прикаснуться, прикасание, коснуться, прикосновение, прикасаться, касательная, неприкосновенный;
6. Выпишите в один столбик слова с вариантом -лаг-, в другой — с с вариантом -лож-
Лаг-излагать, прилагательное, полагается, слагаемое.
Лож-Изложение, возложить, приложение, предположение, сложение , положение, низложить
Прилагать усилия, сложить вещи, отложить поездку, возлагать цветы, предложить помощь, безотлагательное дело, заложить фундамент, приложение к журналу «Огонек», высказать предположение.
7. Выпишите в один столбик слова с корневым вариантом -кас-, а в другой -кос-
1) Ничто так близко не соприкасается с идеей вечности, как представление о литературе. 2) Нет ничего, что не касалось бы честных людей. 3) О такой дружбе, которая не выдерживает прикосновения голой правды, не стоит жалеть. 4) Береги, щади неприкосновенность, уязвимость, ранимость другого человека. 5) Прикосновение к природе неизбежно возбуждает чувства и порождает мысли.
8.Прочитайте притчу, переведите на армянский язык.
Ветер и Солнце
Однажды сердитый северный Ветер и Солнце затеяли спор о том, кто из них сильнее. Долго они спорили и решили испробовать свою силу на одном путешественнике.
Ветер сказал: «Я сейчас вмиг сорву с него плащ!» И начал дуть. Он дул очень сильно и долго. Но человек только плотнее закутывался в свой плащ.
Тогда Солнце начало пригревать путника. Он сначала опустил воротник, потом развязал пояс, а потом снял плащ и понёс его на руке. Солнце сказало Ветру: «Видишь: добром, лаской, можно добиться гораздо большего, чем насилием».
Найдите армянскую притчу, которая вам нравится и переведите его на русский язык
Հայոց լեզու
1. Ուշադրությու` ն դարձրու ընդգծված գոյականների ձևերին և իմաստներին, գտի´ր
տարբերությունները:
Ա. Դերձակը հագուստ էր կարում: Բ. Դերձակը հագուստն էր կարում:
Ա. Փողոցում գիրք էր վաճառվում: Բ. Փողոցում գիրքը վաճառվում էր:
2. Գծիկները փոխարինի´ր ը կամ ն հոդով:
Ժողովուրդներ-ը տարբերվում են իրենց արտաքին տեսքով, լեզվով ու սովորույթներով:
Ժողովուրդներ-ն իրենց արտաքին տեսքով, լեզվով ու սովորույթներով են տարբերվում:
Աստղադիտակ-ը դանիացի ապակեգործներ-են ստեղծել: Աստղադիտակ-ը ստեղծել են դանիացի
ապակեգործներ-ն:
Եվրոպացիներ-ը առաջին անգամ արևածաղիկ-ը տեսան մեքսիկական պրերիաներում, երբ հայտնագործեցին Ամերիկա-ն: Արևածաղիկ-ն առաջին անգամ եվրոպացիներ-ն տեսան մեքսիկական պրերիաներում, երբ հայտնագործեցին Ամերիկա: Եվրոպացիներ-ը մեքսիկական պրերիաներում առաջին անգամ տեսան արևածաղիկ-ը, երբ հայտնագործեցին Ամերիկա-ն:
Գառնիի սյունազարդ տաճար-ը (մ.թ. 77 թվական) Միհր աստծո պատվին է ստեղծվել: Գառնիի սյունազարդ տաճար-ն ստեղծվել է (մ.թ. 77 թվական) Միհր աստծո պատվին: Միհր աստծո պատվին է ստեղծվել Գառնիի սյունազարդ տաճար-ը(մ.թ. 77 թվական): Միհր աստծո պատվին Գառնիի սյունազարդ տաճար-ն է ստեղծվել (մ.թ. 77 թվական):
Հաշվետվություն
Անուն Ազգանուն՝ Ղազարյան Արամ
Ընտրություն՝ Մարմնամարզություն
Ֆիզկուլտուրա՝ Ձյուդո
Սա էլ իմ Սեպտեմբեր-ից Դեկտեմբեր-ի ընթացքում կատարած նախագծերը։
Հայոց լեզու, Գրականության
https://ghazaryan.home.blog/category/%d5%b0%d5%a1%d5%b5%d5%b8%d6%81-%d5%ac%d5%a5%d5%a6%d5%b8%d6%82/
https://ghazaryan.home.blog/category/%d5%a3%d6%80%d5%a1%d5%af%d5%a1%d5%b6%d5%b8%d6%82%d5%a9%d5%b5%d5%b8%d6%82%d5%b6/
Մաթեմատիկա առանց բանաձևերի
https://ghazaryan.home.blog/category/%d5%b4%d5%a1%d5%a9%d5%a5%d5%b4-%d5%a2/
Երկրաչափություն





Գրականություն
Ընտրել ամանորյա բանաստեղծություններից մեկը, ընթերցել, ձայնագրել կամ տեսագրել:
Համո Սահյան
Խոսք Նոր տարվա
Դու երազների կանչով ես գալիս
`
Քնքշությամբ, գինով, հավատով լեցուն
,
Ամենքն ամենուր քեզ տուրք են տալիս
,
Ամբարած քո մեջ սեր ու լիություն
:
Երգի, խնդության ծով ալիքներում
Չենք զգում հի՞ն ես, թե նոր ես, իրավ
,
Միայն, երբ փոքրիկ թերթիկն ենք պոկում
,
Զգում ենք, որքան կյանքի ենք ծարավ
:
Ճերմակ ձյուներով մեզ փարվիր անտես
,
Մեզ արևների տենչին հասցրու
,
Մենք էլ մանուկ ենք, նորածին քեզ պես
,
Արհավիրքները տար մեզնից հեռու
:
Դու խաղաղության կանչով ես գալիս
,
Եվ խոստումնալից,
և անխրատական
,
Թող ծաղկուն լինի ծնունդդ գալիք
,
Որ հավերժանա մարդն արարչական
:
Գրականություն
Կարդա՛ Ստ. Զորյանի ,,Եղևնին,, պատմվածքը:
Փորձի՛ր ներկայացնել ստեղծագործության գաղափարը:
Իմ կարծիով գաղափարը նրանում է, որ պետք չէ գողանալ եղևնին, այլ պետք է թողնել որպեսզի, տեսնել թե ինչպես է եղևնին ծաղկում,
և մեծանում։
Կենսաբանություն
Ծաղկավոր բույսեր բույսերի ամենակատարելագործված և գերիշխող տիպը արդի երկրաբանական ժամանակաշրջանում։ Տարածված են ամենուրեք, բացառությամբ մամռատունդրաների և մերկասերմ անտառների։ Ունեն իսկական ծաղիկ, որի մեգասպորոֆիլը վեր է ածվել պտղաթերթիկների։ Վերջիններս եզրերից աճելով առաջացնում են փակ խոռոչ, որի ներսում զարգանում են սերմնաբողբոջները։ Ծածկասերմերին բնորոշ է կրկնակի բեղմնավորումը։ Հայտնի է մոտ 250 000 տեսակ, տարածված ամենուրեք, հատկապես խոնավ արևադարձային շրջաններում:

Պատմություն
Երկրաչափություն






Հայոց լեզու
Դասարանում
Գրաբարը դարձրու աշխարհաբար։
Ձմեռն էանց, անձրեւք անցին եւ գնացեալ մեկնեցան: Ծաղիկք երեւեցան յերկրի մերում, ժամանակ եհաս հատանելոյ, ձայն տատրակի լսելի եղեւ յերկրի մերում: Թզենի արձակեաց զբողբոջ իւր, որթք մեր ծաղկեալք ետուն զհոտս իւրեանց: Արի եկ, մերձաւոր իմ, գեղեցիկ իմ, աղաւնի իմ, եւ եկ դու: Երեւեցո ինձ զերեսս քո եւ լսելի արա ինձ զբարբառ. զի բարբառ քո քաղցր է, եւ տեսիլ քո գեղեցիկ:
Ձմեռն անցավ, անձրևներն անցան ու գնացին, մեկնեցին։ Ծաղիկները բացվեցին մեր երկրում, հասավ էտելու ժամանակը, տատրակի ձայնը լսելի եղավ մեր երկրում։ Թզենին արձակվեց իր բողբոջը, մեր ծաղկած որթերը իրենց հոտը տվեցին։ Վեր կաց արի, իմ մերձավոր, իմ գեղեցիկ, իմ աղավնի, և արի դու։ Ցույց տուր ինձ քո երեսը և արա անպես, որ լսեմ քո խոսքը որովհետև, քո խոսքը քաղցր է, և քո տեսքը գեղեցիկ։
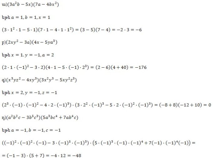
Հանրահաշիվ
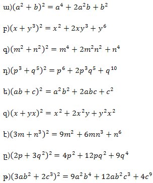
1․Ճիշտ է արդյո՞ք այս բանաձևը`(l+d)2 = d2+2dl+l2
- Ոչ
- Այո●
2․Հավասարության մեջ ի՞նչ թիվ պետք է լինի բազմակետերի փոխարեն՝
(5z−5)(5z+5) = 25z2−25
3․Ընտրիր պատասխանի ճիշտ տարբերակը: Աստիճան բարձրացնելիս՝ (16+b)² ստացվում է՝
- 256+16+b+b2
- 256+b2●
- 256−32b+b2
- 256+32b+b2
4․ 0.36−p2 քառակուսիների տարբերությունը ներկայացրու արտադրյալի տեսքով: Ինչի՞ է հավասար մի արտադրիչը, եթե մյուսը հավասար է (0.6−p): Ընտրիր ճիշտ պատասխանը:
- (p+0.6)●
- (p−0.6)
- (0.6−p)
- բերվածներից ոչ մեկին
5․Բարձրացրու քառակուսի՝ (y−5)2 Պատասխաններից որո՞նք են սխալ:
- y2−10y+25●
- y2+25●
- 25−10y+y2●
- y2+10y+25●
- y2−25
6․Գտիր (6a−9b)⋅(6a+9b)−36a2 արտահայտության արժեքը, եթե a=2 և b=0.01: Արտահայտության արժեքը հավասար է։
(6a−9b)⋅(6a+9b)−36a2=36a²-81b²-36a²=-81b²
English
The 12 ( Twelve ) Days of Christmas Story
On the first day of Christmas,
my true love sent to me
A partridge in a pear tree.
On the second day of Christmas,
my true love sent to me
Two turtle doves,
And a partridge in a pear tree.
On the third day of Christmas,
my true love sent to me
Three French hens,
Two turtle doves,
And a partridge in a pear tree.
On the fourth day of Christmas,
my true love sent to me
Four calling birds,
Three French hens,
Two turtle doves,
And a partridge in a pear tree.
On the fifth day of Christmas,
my true love sent to me
Five golden rings,
Four calling birds,
Three French hens,
Two turtle doves,
And a partridge in a pear tree.
On the sixth day of Christmas,
my true love sent to me
Six geese a-laying,
Five golden rings,
Four calling birds,
Three French hens,
Two turtle doves,
And a partridge in a pear tree.
On the seventh day of Christmas,
my true love sent to me
Seven swans a-swimming,
Six geese a-laying,
Five golden rings,
Four calling birds,
Three French hens,
Two turtle doves,
And a partridge in a pear tree.
On the eighth day of Christmas,
my true love sent to me
Eight maids a-milking,
Seven swans a-swimming,
Six geese a-laying,
Five golden rings,
Four calling birds,
Three French hens,
Two turtle doves,
And a partridge in a pear tree.
On the ninth day of Christmas,
my true love sent to me
Nine ladies dancing,
Eight maids a-milking,
Seven swans a-swimming,
Six geese a-laying,
Five golden rings,
Four calling birds,
Three French hens,
Two turtle doves,
And a partridge in a pear tree.
On the tenth day of Christmas,
my true love sent to me
Ten lords a-leaping,
Nine ladies dancing,
Eight maids a-milking,
Seven swans a-swimming,
Six geese a-laying,
Five golden rings,
Four calling birds,
Three French hens,
Two turtle doves,
And a partridge in a pear tree.
On the eleventh day of Christmas,
my true love sent to me
Eleven pipers piping,
Ten lords a-leaping,
Nine ladies dancing,
Eight maids a-milking,
Seven swans a-swimming,
Six geese a-laying,
Five golden rings,
Four calling birds,
Three French hens,
Two turtle doves,
And a partridge in a pear tree.
On the twelfth day of Christmas,
my true love sent to me
Twelve drummers drumming,
Eleven pipers piping,
Ten lords a-leaping,
Nine ladies dancing,
Eight maids a-milking,
Seven swans a-swimming,
Six geese a-laying,
Five golden rings,
Four calling birds,
Three French hens,
Two turtle doves,
And a partridge in a pear tree!
Հայոց լեզու
Հոլովվի՛ր անկյուն, օր, եղբայր, ծաղիկ, մարտ, երազ բառերը:
Անկյուն
Ուղղական-անկյուն
Սեռական-անկյան
Տրական-անկյունի
Հայցական-անկյան
Բացառական-անկյունից
Գործիական-անկյունով
Ներգոյական-անկյունում
Օր
Ուղղական-օր
Սեռական-օրվա
Տրական-օրվան
Հայցական-օրը
Բացառական-օրվանից
Գործիական-օրով
Ներգոյական-օրում
Եղբայր
Ուղղական-եղբայր
Սեռական-եղբոր
Տրական-եղբորն
Հայցական-եղբորը
Բացառական-եղբորից
Գործիական-եղբորով
Ծաղիկ
Ուղղական-ծաղիկ
Սեռական-ծաղկի
Տրական-ծաղկին
Հայցական-ծաղիկը
Բացառական-ծաղկից
Գործիական-ծաղկով
Ներգոյական-ծաղկում
Երազ
Ուղղական-երազ
Սեռական-երազի
Տրական-երազին
Հայցական-երազը
Բացառական-երազից
Գործիական-երազով
Ներգոյական-երազում
Մարտ
Ուղղական-մարտ
Սեռական-մարտի
Տրական-մարտին
Հայցական-մարտը
Բացառական-մարտից
Գործիական-մարտով
Ներգոյական-մարտում
Աշխարհագրություն
Ազգային տնտեսություն
Որո՞նք են տնտեսության զարգացման նախադրյալները:
Տնտեսության զարգացման համար կարևոր է տվյալ երկրի աշխարհագրական դիրքը ,արտադրությունը և շուկան:
Նշեք 5 երկիր որտեղ տնտեսության առաջատար ճյուղը
արդյունաբերությունն է՝

Սպասարկման ոլորտն է

գյուղատնտեսությունն է՝

Ի՞նչ ազդեցություն ունի բնակչության սեռատարիքային կազմը տնտեսության զարգացման վրա:
Հասարակության գլխավոր արտադրողական ուժը բնակչությունն է իր սեռատարիքային կազմով։ Նաև այդ ուժով է որոշվում երկրի տնտեսական հզորությունը, նյութական և հոգևորբարիքներ ստեղծելու հնարավորությունը։
Ի՞նչ ազդեցություն ունի երկրի աշխարհագրական դիրքը երկրի տնտեսության զարգացման վրա. բերել օրինակներ:
Աշխարհագրական դիրքը մեծ ազդեցություն ունի գյուղատնտեսության վրա: Օրինակ՝ անասպահություն պետք է լինի արոտավայրեր և լավ կլինիկա։ Շատ կարևոր է ծովային տարածք ունենալը, որովհետև բանջարեղեն և ծառեր աճացնելու համար պետք է ջուր։
Ի՞նչ ազդեցություն ունեն երկրի բնական պայմաններն ու ռեսուրսները երկրի տնտեսության զարգացման վրա. բերել օրինակներ:
Եթե երկիրը ունի ավելի շատ նավք։ Այդ երկիրը զարգացած է։
Ի՞նչ ազդեցություն ունի հարևան երկրների ազդեցությունը երկրի տնտեսության զարգացման վրա. բերել օրինակներ:
Օրինակ՝ եթե Հայաստանից բանջարեղեն են արտահանում դեպի Ռուսաստան-Վրաստանով, եթե Վրաստանը փակի ճանապարհը կնվազի Հայաստանի տնտեսության աճը։
English
It was the night the dear Christ Child came to Bethlehem. In a country far away from Him, an old, old woman named Babouscka sat in her snug little house by her warm fire. The wind was drifting the snow outside and howling down the chimney, but it only made Babouscka’s fire burn more brightly.
«How glad I am that I may stay indoors!» said Babouscka, holding her hands out to the bright blaze. But suddenly she heard a loud rap at her door. She opened it and her candle shone on three old men standing outside in the snow. Their beards were as white as the snow, and so long that they reached the ground. Their eyes shone kindly in the light of Babouscka’s candle, and their arms were full of precious things—boxes of jewels, and sweet-smelling oils, and ointments.
«We have traveled far, Babouscka,» said they, «and we stop to tell you of the Baby Prince born this night in Bethlehem. He comes to rule the world and teach all men to be loving and true. We carry Him gifts. Come with us, Babouscka!»
But Babouscka looked at the driving snow, and then inside at her cozy room and the crackling fire. «It is too late for me to go with you, good sirs,» she said, «the weather is too cold.» She went inside again and shut the door, and the old men journeyed on to Bethlehem without her. But as Babouscka sat by her fire, rocking, she began to think about the little Christ Child, for she loved all babies.
«Tomorrow I will go to find Him,» she said; «tomorrow, when it is light, and I will carry Him some toys.»
So when it was morning Babouscka put on her long cloak, and took her staff, and filled a basket with the pretty things a baby would like—gold balls, and wooden toys, and strings of silver cobwebs—and she set out to find the Christ Child.
But, oh! Babouscka had forgotten to ask the three old men the road to Bethlehem, and they had traveled so far through the night that she could not overtake them. Up and down the roads she hurried, through woods and fields and towns, saying to whomsoever she met: «I go to find the Christ Child. Where does he lie? I bring some pretty toys for His sake.»
But no one could tell her the way to go, and they all said: «Farther on, Babouscka, farther on.» So she traveled on, and on, and on for years and years—but she never found the little Christ Child.
They say that old Babouscka is traveling still, looking for Him. When it comes Christmas eve, and the children are lying fast asleep, Babouscka comes softly through the snowy fields and towns, wrapped in her long cloak and carrying her basket on her arm. With her staff she raps gently at the doors and goes inside and holds her candle close to the little children’s faces.
«Is He here?» she asks. «Is the little Christ Child here?» And then she turns sorrowfully away again, crying: «Farther on, farther on.» But before she leaves she takes a toy from her basket and lays it beside the pillow for a Christmas gift. «For His sake,» she says softly and then hurries on through the years and forever in search of the little Christ Child.New Words
snug-հարմարավետ
shone-փայլեց
cozy-հարմարավետ
sorrowfully-ցավով
farther-ավելի հեռու
Գրականություն
Կարդա՛ ,,Սուրբ Ծնունդի օրվա առավոտը,, պատմվածքը:
1. Անհասկանալի բառերը բացատրի՛ր բառարանի օգնությամբ:
Անհասկանալի բառեր չկար։
2. Քո կարծիքով ինչի՞ մասին է պատմվածքը:
Իմ կարծիքով պատմվածքը մի բարեսիրտ տղայի մասին էր։Եվ այն օրվանից երբ տղան իմացավ, որ նրա հայրը իրեն շատ է սիրում, նա որոշում էր, թե պետք է ինչ որ նվեր պատրաստի հայրիկի համար
Իմ կարծիքով նվեր նվիրելը և ստանալը շատ հաճելի է, բայց երբ նվերը նվիրում են առանձ զգացմունք շատ անհարգալից է ստացվում: Ես կարևորում եմ զգացմունքները, երբ նվերները տալիս են զգացմունքով, սիրով և ուրախությամբ: Իսկ եթե նվերը տալիս են առանձ սիրո և առանձ զգացմունքների դա նվեր չի կոչվի:
Հանրահաշիվ


Հայոց լեզու
Если вы вдруг оказались в Рейкьявике и у вас есть желание познакомиться поближе с исландской природой, при этом не переплачивать за экскурсии и не тратить на это несколько дней, то есть несколько мест, куда вы можете самостоятельно съездить и почувствовать всю силу исландской природы
Եթե հանկարծ հայտնվել եք Ռեյկյավիկում և ցանկություն ունեք ավելի լավ ճանաչել իսլանդական բնությունը, միևնույն ժամանակ չվճարելով էքսկուրսիայի համար և չկորցնել դրա վրա մի քանի օր անցկացնել այնտեղ, ապա կան վայրեր, որտեղ կարող եք ինքնուրույն գնալ և զգալ իսլանդական բնության ամբողջ ուժը:
Հղում https://prekrasnij-mir.ru/priroda/peshie-progulki-po-goram-islandii/
Русский язык
- Прочитайте стихотворение: “С чего начинается Родина”
С чего начинается Родина?
С картинки в твоём букваре,
С хороших и верных товарищей,
Живущих в соседнем дворе.
А может, она начинается
С той песни, что пела нам мать.
С того, что в любых испытаниях
У нас никому не отнять.
С чего начинается Родина?
С заветной скамьи у ворот.
С той самой берёзки, что во поле,
Под ветром склоняясь, растет.
А может, она начинается
С весенней запевки скворца
И с этой дороги просёлочной,
Которой не видно конца.
С чего начинается Родина?
2. Назвовите как можно больше слов с корнем «род», запишите их.
Родина, родной, родная, родство, родители, родимый, родственник, роды, родня, порода, родословная,
3. Составьте пословицу
Родина – мать, Родине служить.
Родина мать, умей за неё постоять.
Жить- , умей за неё постоять.
Жить- Родине служить.
Человек без Родины- , там и пригодится.
Человек без Родины- что соловей без песни
Где кто родится- , что соловей без песни.
Где кто родится- там и пригодится.
4. Напишите сочинение на тему Родина
Первоначально родиной являлось только то пространство, которое сейчас называется малая родина: небольшие человеческие группы, рода, племена, небольшие народы оседали на небольшой территории и осваивали её. Позже эти небольшие группы укрупнялись, превращаясь в народ в полном смысле этого слова, и образовывали большую родину
5.Напишите предложения, используя данные слова.
1. Я, учиться, институт.
Я учусь в институте.
2. Писать, я, письмо, друг, сейчас.
Я сейчас пишу письмо другу․
3. Вчера, купить, Нина, брат, часы.
Нина вчера купила брату часы.
4. Театр, центр, находиться.
Театр находиться в центре.
5. Подруга, ездить, моя, Англия.
Моя подруга ездит в Англию.
6. Виктор, новый, есть, компьютер.
У Виктора есть новый компютер.
7. Отец, 62, год.
Отцу 62 года.
8. Юрий, работать, поликлиника.
Юрий работает в поликлинике.
9. Подруга, я, рассказывать, где, быть, она, вчера.
Подруга мне рассказывала, где она была вчера.
6. Напишите предложения, используя союзы потому что и поэтому.
1. Анаит живёт в Москве недавно, (поэтому) она плохо знает город. 2. Антон купил подарок сестре, (потому что) у неё будет день рождения. 3. Я должен много заниматься. (Потому что) я хочу хорошо знать русский язык. 4. У Иры нет ручки, (поэтому) она не может писать письмо. 5. Джон должен пойти в поликлинику к врачу, (потому что) он плохо себя чувствует. 6. Мы должны позвонить другу, (потому что) он ждёт нас. 7. Ира была занята, (поэтому) она не ходила в гости к подруге. 8. Мой брат хочет учиться в университете, (поэтому) он много занимается.
Երկրաչափություն
1․44 սմ հիմքով հավասարասրուն եռանկյան մեջ տարված է∡ABC անկյան կիսորդը: Օգտագործելով եռանկյունների հավասարության երկրորդ հայտանիշը` ապացուցիր, որ BD հատվածը հանդիսանում է միջնագիծ և որոշիր AD հատվածի երկարությունը:
44:2=22 սմ
ABD=DCB
2․ Ցուցադրված եռանկյունները հավասար են ըստ՝

I-ին հայտանիշի (կակ)
III-րդ հայտանիշի (կկկ)
II-րդ հայտանիշի (ակա)
հնարավոր չէ պարզել
3․ Տրված է ABCD ուղղանկյունը: Ըստ եռանկյունների հավասարության երրորդ հայտանիշի (կկկ), հավասար են արդյո՞ք BOA և DOC եռանկյունները:
ՕA=ՕC
ՕD=ՕB
BOA=DOC
4․

Օգտագործելով նկարում բերված տեղեկությունները` գտիր∡LKN անկյան մեծությունը, եթե ∡LKM=41°-ի:
1. Որոշիր հավասար եռանկյունները՝
Հավասար են, որովհետև K-ն ընդհանուր է։
LKM = NKM
2. Գտիր∡LKM անկյանը համապատասխանաբար հավասար անկյունը՝
NKM-ը
3. ∡LKN=41 x 2 = 82°
5․
COB=BOA=ABO=BAO=OBA=BAO=OAB=BOC=AOB
BDA=CBD
ABC
Գրականություն
Ամեն օր, դպրոցից տուն դառնալիս, երեխաները մտնում էին Հսկայի այգին խաղալու:
Դա մի մեծ ու գեղեցիկ մի այգի էր` փափուկ կանաչ խոտով:
Թռչնակները թառում էին ծառերին և երգում այնքան ախորժալուր, որ երեխաները , խաղերը մոռացած, նրանց էին լսում:
Բայց մի օր Հսկան տուն վերադարձավ: Նա հյուր էր գնացել իր ընկերոջ` Կոռնուելի Մարդակերի մոտ:
Երբ նա տեղ հասավ, տեսավ իր այգում խաղացող մանուկներին:_Ինչ գործ ունեք այստեղ,- գոռաց նա զարհուրելի ձայնով ու երեխաները փախան
Իմ այգին իմ սեփականությունն է, -գոչեց Հսկան,- և թող բոլորն իմանան, որ բացի ինձնից ոչ ոքի թույլ չեմ տա այստեղ խաղա:Եվ նա բարձր պարիսպ կանգնեցրեց այգու 4 կողն ու ցուցանակ կախեց.
Մուտքն արգելված է.
Շատ եսամոլ էր այս Հսկան:Աղքատ երեխաները այլևս խաղալու տեղ չունեին:
Հետո եկավ գարունը , և ամենուրեք փոքրիկ բողբոջներ ու թռչնակներ հայտնվեցին: Միայն Եսամոլ Հսկայի այգում տնօրինում էր Ձմեռը:
Օրերից մի օր խոտերի միջից մի գեղեցիկ ծաղիկ հանկարծ գլուխը հանեց, բայց հենց որ նկատեց ցուցանակը, այնքան վշտացավ երեխաների համար, որ իսկույն նորից թաքնվեց հողի տակ ու քուն մտավ:
Գարունը մոռացել է այգին,- գոչեցին նրանք,- ուստի մենք կլոր տարին այստեղ կապրենք:
Կարկուտը դադարեց ծեծել տանիքը, իսկ Հյուսիսային Քամին այլևս չոռնաց, ու դրա փոխարեն կիսաբաց պատուհանից անուշ բուրմունք թափանցեց ներս:
Իրականում դա մի փոքրիկ կանեփահավ էր ճռվողում, բայց Հսկան այնքան վաղուց չէր լսել իր այգում երգող թռչնակի, որ նրան թվաց, թե աշխարհում երբեք ավելի սքանչելի բան չի լսել:
Միայն մի անկյունում էր` դեռ իշխում էր Ձմեռը: Դա այգու ամենահեռավոր անկյունն էր, որտեղ մի մանչուկ էր կանգնած:
Հսկան թիկունքից անշշուկ մոտեցավ տղային, քնքշորեն ափն առավ նրան ու նստեցրեց ծառին
Այսուհետև սա ձեր այգին է , փոքրիկներ,- ասաց Հսկան,- մի մեծ կացին առավ ու խորտակեց պարիսպը:
Իսկ ուր է ձեր փոքրիկ ընկերը, որին ես ծառը բարձրացի,- հարցրեց Հսկան:նա այդ տղային բոլորից շատ էր սիրում, քանի որ մանչուկը համբուրել էր նրան
Տարիներն անցնում էին , և Հսկան ավելի ու ավելի էր ծերանում ու թուլանում: Նա այլևս մանուկների հետ խաղալու ուժ չուներ, այնպես որ նստում էր բազկաթոռին ու նայում, թե ինչպես են խաղում երեխաներն ու հիանում էր իր այգով:—
Հանկարծ Հսկան աչքերը սկսեց տրորել, նայել ու նայել, կարծես հրաշք տեսած լիներ: Եւ իսկապես, հրաշալի տեսարան էր բացվել: Այգու ամենահեռավոր անկյունում մի ծառ ամբողջովին ծաղկել էր ու ծածկվել չնաշխարհիկ սպիտակ ծաղիկներով: Ծառի ճյուղերը ոսկուց էին և նրանցից կախված էին արծաթե մրգեր, իսկ նրանց տակ կանգնած էր տղան, ում Հսկան ամենից շատ էր սիրում:Ուրախությունից իրեն կորցրած Հսկան ցածխ վազեց աստիճաններով ու այգի մտավ: Նա ուղղակի խոտերի վարյով շտապեց դեպի տղան: Բայց երբ մոտեցավ, նրա դեմքը շառագունեց զայրույթից ու հարցրեց.-Ով է հանդգնել քեզ վիրավորել:’Տղայի ափերի մեջ նա տեսել էր երկու մեխի հետք, երկու մեխի հետք էլ ոտքերին կար:-Ով է հանդգնել վիրավորել քեզ,- գոչեց Հսկան,- ասա, որպեսզի առնեմ մեծ թուրս ու սպանեմ մեղավորին:
Մանուկը ժպտաց Հսկային ու ասաց.— Մի օր դու ինձ թույլ տվիր խաղալ քո այգում, իսկ այսօր ես քեզ կտանեմ իմ այգին, որ կոչվում է Դրախտ:
Հայոց լեզու
1.Փակագծում տրված գոյականները գրել համապատասխան հոլովով:
Երբեմն ծովից (ծով) լույս է դուրս գալիս: Այն դիտվում է մակերեսային տաք ջրերի (ջրեր) ալիքների (ալիք) կապտականաչավուն լուսարձակումների(լուսարձակում) տեսքովտեսք): Ծովային լուսարձակումների(լուսարձակում) գլխավոր աղբյուրը միաբջիջ օրգանիզմներն են, որոնք ինչպես բույսերի(բույսեր), այնպես էլ.. կենդանիների(կենդանիներ) հատկություն ունեն: Նրանք արևի (արև) էներգիան լուսային էներգիայի (էներգիա) վերածելու բացառիկ ունակություն ունեն: Քիմիական բարդ…(ռեակցիա) ռեակցիայի հետևանքով (հետևանք) առաջանում է «սառը» լուսարձակում, որը չի ուղեկցվում… (ջերմություն) ջերմության արտադրությամբ(արտադրություն):
2. . Նախադասության միտքն այնպես արտահայտի´ր, որ ընդգծված բառը փակագծում տրված հոլովով լինի:
Ստոկհոլմի թագավորական գրադարանն ունի շախմատին նվիրված հիսուն հազար գիրք: (գրադարանում
Ստոկհոլմի թագավորական գրադարանում կա շախմատին նվիրված հիսուն հազար գիրք:
Մեր շուրջը՝ օդում, ջրում, հողում, ապրում են անթիվ, անհամար մանրէներ: (օդի, ջրի, հողի)
Մեր շուրջը՝ օդի, ջրի, հողի մեջ ապրում են անթիվ, անհամար մանրէներ: (օդի, ջրի, հողի)
Նույնիսկ մանրէների անթիվ բանակների ուժից վեր է կենդանի օրգանիզմներին հաղթելը: (բանակներ)
Նույնիսկ մանրէների անթիվ բանակներ չեն կարող կենդանի օրգանիզմներին հաղթելը: (բանակներ)
Բույսերը մշակում են հատուկ թունավոր նյութեր, որոնք անտեսանելի մանրէներին ոչնչացնում են: (նյութերից, մանրէները)
Բույսերը կազմված են հատուկ թունավոր նյութերից, որոնք անտեսանելի մանրէները ոչնչացնում են: (նյութերից, մանրէները)
Բույսերի հյութի մեջ հիվանդությունների դեմ պայքարող ու օրգանիզմն ամրացնող «կախարդական» նյութեր կան: (հյութը):
Բույսերի հյութը հիվանդությունների դեմ պայքարող ու օրգանիզմն ամրացնող «կախարդական» նյութեր ունի: (հյութը):
3. Փորձի´ր բացատրել, թե ի´նչ են ցույց տալիս գործիական հոլովով դրված ընդգծված գոյականները:
Ծերուկը երկաթե ձողով գրում էր կավե սալիկի վրա:
Արտում մի մարդ կար, որ խոտ էր քաղում մանգաղով:
Բահով էր փորել այդ հսկա փոսը:
Այն նկարը կարծես թութակի պոչով է նկարել:
Ուզում ես այս ամուր պատը փոքր քլունգով քանդե՞լ:
Տաբատի վրայի բիծը սպունգով ու օճառով մաքրեց:
Գործիական հոլովով դրված ընդգծված գոյականները ցույց են տալիս,որով կատարվում է գործողությունը:
Աշխարհագրություն
1.Նշել տարածքով ամենախոշոր 15 երկրները:

2.Նշել բնակչության թվով խոշոր 15 երկրները:

3.Նշեք 5 սահմանադրական և 5 բացարձակ միապետությունները:
Սև-սահմանադրական
Կարմիր-Բացարձակ միապետություններ

4.Նշեք 5 երկիր, որոնց աշխարհագրական դիրքը բարենպաստ է, նշեք 5 երկիր, որոնց աշխարհագրական դիրքը անբարենպաստ է:
Սև-բարենպաստ
Կարմիր-անբարենպաստ

Հայոց լեզու
1․ Ընկեր, սրճարան գոյականները հոլովի´ր:
Ընկեր
Սեռական-ընկերի
Ուղղական-ընկեր
Տրական-ընկերին
Հայցական-ընկերը
Բացառական-ընկերից
Գործիական-ընկերով
Ներգոյական-ընկերում
Սրճարան
Ուղղական-սրճարան
Սեռական-սրճարանի
Տրական-սրճարանին
Հայցական-սրճարանը
Բացառական-սրճարանից
Գործիական-սրճարանով
Ներգոյական-սրճարանում
2. Կազմի´ր բառակապակցություններ՝ հարցական դերանունները փոխարինելով գոյականներով:
Ընկնել ո՞ւր:
Ընկնել ձորը, ընկնել գետակի մեջ, ընկնել պատուհանից։
Հանդիպել որտե՞ղ:
Հանդիպել կինոթատրոնում, հանդիպել թանգարանում, հանդիպել սրճարանում
3․ Կազմի´ր բառակապակցություններ՝ հարցական դերանունները փոխարինելով գոյականներով:
Վերադառնալ ո՞ւր, ինչի՞ն:
Տուն, երկիր, միտք, կարծիք:
Միտք, հայելի, ջրեր, ապակի, կարծիք:
Անրադառնալ ինչի՞ն, որտե՞ղ:
Վերադառնալ տուն
Վերադառնալ երկիր
Վերադառնալ մտքին
Վերադառնալ կարծիքին
Անրադառնալ մտքին
Անրադառնալ կարծիքին
Անրադառնալ հայելուն
Անրադառնալ ջրերին
Անրադառնալ ապակուն
Ֆիզիկա
Ծավալ
Նյութի խտությունը հասկանալու համար նախ վերհիշենք զանգվածի և ծավալի միավորները։
Զանգվածը մարմնի իներտության քանակական չափը։Զանգվածը սկայլար մեծություն է այսինքն տրվում է թվային մեծության և միավորներով։ՄՀ֊ում հիմնական միավորը կգ։
Մարմնի ծավալը դա մարմնի զբաղեցրած տեղն է։
ՄՀ֊ում որպեսզ ծավալի միավոր ընդունված է այն խորանարդի ծավալը որի կողմը մեկ մետր է։Այն 1մ^3֊է։Այլ միավորներ են 1դմ^3, 1սմ^3, 1մմ^3։Կենցաղում շատ օգտագործվում է 1լ֊ը և 1մլ֊ը
1լ=1դմ^3
1մլ=1սմ^3
Գրականություն
1. Բացատրի՛ր բառերը: Նոսր, արգավանդ, ումպ, այլասերվել, ամայի, ընկճվել, արևախանձ, կիսանիրհ, պատիճ, քունք, կենարար, կոհակ:
նոսր-բարակ
արգավանդ-պտղաբեր
ումպ-Մի անգամից բերանը լցնելու՝ խմելու չափ հեղուկ կամ մի կում
ամայի-վայր որտեղ ոչ ոք չկա
ընկճվել-հուսահատվել
արևախանձ-այրված
կիսանիրհ-քնաթաթախ
պատիճ-շողիկ, խանձ,
քունք-գանգի կողքային մասը՝ ականջից մինչև ճակատը
կենարար-փրկարար
կոհակ-ալիք
2. Ահա թե ինչ է ծառը: Կարդա հեղինակի թվարկածները, ավելացրու քոնը:
Ծառը բույս է որը, պարգևում է երկիր մոլորակին մի թթվածին , եթե ծառը չլիներ մենք չենք կարողանա շնչել և ապրել։
3. Ինչպե՞ս կմեկնաբանես Թոմասի հետևյալ միտքը. …Ետ նայել կնշանակեր՝ ընկճվել…
Իմ կարծիքով նա նայեց հետ, որովհետև նա շատ հոգնած էր և ուզում էր հաճույք ստանալ իր արած աշխատանքից։
4. Ո՞րն էր հերոսի հաջողության գաղտնիքը:
Հերոսի հաջողության գաղտնիքը այն է, որովհետև նա քրտնաջան աշխատանքի շնորհիվ հասավ իր նպատակին։
English




Հանրահաշիվ


Քիմիա
Գործնական աշխատանք `Խառնուրդներից մաքուր նյութերի ստացւոմը: Երևանի քարհանքից բերված կերակրի աղի մաքրումը:Կերակրի աղի մաքրումըՍարքավորումներ` Լաբորատոր կալան, սպիրտայրոց, բաժակ, ձագար, ֆիլտրի թուղթ, ապակե ձող, կոլբ, ճենապակյա թասԱզդանյութեր`կերակրի աղ, ջուրԲաժակում լցրեք աղտոտված կերակրի աղը և վրան ավելացրեք ջուրը, խառնեք ապակե ձողի միջոցով: Ինչպիսի՞ խառնուրդ ստացաք: Ստացված պղտոր հեղուկը ֆիլտրեք: Չլուծվող մանր մասնիկները հեղուկից բաժանելու նպատակով օգտագործում են չսոսնձված ծակոտեն թուղթ, որից և պատրաստում են ֆիլտր:Ֆիլտրի թղթի պատրաստումը պատկերված է նկարի վրա: Աղի պղտոր լուծույթը ֆիլտրի վրա լցրեք ապակե ձողի վրայով, որի ներքին ծայրն ուղղեք դեպի ձագարի պատը, հեղուկի շիթը պետք է ուղղվի ձագարի պատին: Ինչպիսի՞ խառնուրդ է ստացված ֆիլտրատը:Ստացված Ֆիլտրատը լցրեք գոլորշացման ճենապակե թասի մեջ, որը տեղադրեք կալանի օղի վրա: Օղի տակ տեղավորեք ու վառեք սպիրտայրոցը այնպես, որ բոցի արտաքին մասը թասի հատակին հպվի, և լուծույթը տաքացրեք: Հեղուկ մերթ ընդ մերթ խառնեք ապակե ձողով, որ չցայտի: Երբ թասի մեջ լուծույթը թանձրանա, տաքացումը դադարեցրեք ու թողեք այնքան, մինչև հեղուկն ամբողջությամբ շոգեհանվի, և առաջացած աղի բյուրեղները լրիվ չորանան:Ստացված աղը համեմատեք այն աղի խառնուրդի հետ, որը ձեզ տրամադրված էր սկզբում:
Բացատրություն
Սկզբում խառնեցինք կեղտոտ կերակրի աղը և ջուրը։ Ստացվեց անհամասեր խառնուրդ։ Հետո վերցրեցինք ֆիլտրի թուղթը և մաքրեցինք փորձանոթի միջոցով։
Հայոց լեզու
Տնային աշխատանք
1.Հարցական դերանվան փոխարեն գրի´ր տրված գոյականները՝ պահանջված ձևով (բացառական հոլովով):
Ընկեր, եղբայր, մարդիկ, հանդիպում, զրույց, հարցուփորձ:
Խուսափել ումի՞ց ընկերոջից, եղբորից, մարդկանցից: Խուսափել ինչի՞ց հանդիպումից, զրույցից, հարցուփորձից:
2. Հարցական դերանվան փոխարեն գրի´ր տրված գոյականները՝ պահանջված ձևով (գործիական հոլովով):
Երեխա, աշակերտներ, ընկերներ, գրականություն, մեքենա, սպորտ:
Տարվել ումո՞վ երեխայով, աշակերտներով, ընկերներով: Հետաքրքրվել ինչո՞վ գրականությամբ, մեքենայով, սպորտով:
3. Բարդ նախադասությունները կետադրի՛ր:
Երբ քարը կայծ տվեց, և կայծից վառոդը բռնկվեց, ձորերը դղրդացին ահավոր արձագանքից:
Երբ ծանոթ արտին հասավ, հենվեց հրացանին ու միտք արավ:
Քաղցած աղվեսը փչակում հաց ու միս գտավ, որ հովիվներն էին թողել:
Ալքիոնեն մի թռչնիկ է, որ մենակություն է սիրում և ապրում է ծովափին:
Մի շուն, որ ձու կուլ տալու սովորություն ուներ, մի անգամ ձվի փոխարեն խխունջ կուլ տվեց:
Արծիվը ցած սուրաց ու բռնեց այն աքաղաղին, որն ընկերոջը հաղթել ու ձայնը գլուխը գցած պարծենում էր:
Գայլը մի անգամ որոշեց փոխել իր տեսքը,որովհետև այդպես ավելի շատ որս անելու հույս ուներ:
Պատմության մեջ հայտնի են դեպքեր, երբ դատարանը հեղինակին ստիպել է ուտել իր գրած գիրքը:
Քանի որ գրքի բովանդակությունը թունավոր է, թող հեղինակն ինքը թունավորվի դրանով:
Մի անգամ երեկոյան, երբ մի քանի ժամ շարունակ երկնքում փայլեց թռչող անորոշ մի առարկա, Տոկիոյում մի անգամ մեծ
իրարանցում սկսվեց:
Նյու Յորքում պատրաստել են շատ փոքր մի սարք, որը քննելով և ձայնի դողը որսալով՝ բռնում է սուտը:
Այնքան հզոր է մոծակը, որ նույնիսկ փիղն է վախենում նրանից:
Մոլորված մարդը հանկարծ լսեց հեռվում մի կկու է կանչում ու գլխի ընկավ, ուր պիտի գնա:
Մի անգամ առյուծն ուզում էր ցուլին ուտել, բայց նրա եղջյուրներից վախենում էր:
Հանրահաշիվ




Ֆիզիկա
Հարցեր
1.Որ մեծությունն է կոչվում նյութի խտություն
Նյութի խտություն կոչվում է այն ֆիզիկական մեծությունը, որը հավասար է մարմնի զանգվածի և ծավալի հարաբերությանը։
2.Ինչպես է որոշվում նյութի խտությունը:
Խտությունը հավասար է զանգվածը հարաբերած ծավալի։
3.Ինչ միավորներով է արտահայտվում նյութի խտությունը:
Արտահայտվում է կգ/մ3 կամ գ/սմ3:
4.Ինչպես կարելի է հաշվել մարմնի ծավալը,եթե հայտնի են նրա զանգվածը և նրա խտությունը:
Ծավալը հավասար է զանգվածը հարաբերած խտությանը։
5.Ինչպես կարելի է հաշվել մարմնի զանգվածը,եթե հայտնի են նրա ծավալը և նյութի խտությունը:
Զանգվածը հավասար է ծավալի և խտության արտադրյալին։
Ֆիզիկա
Պինդ մարմնի խտության որոշումը















Երկրաչափություն



Պատմություն
Ե՞րբ է տեղի ունեցել Վարդանանց պատերազմը և Ավարայրի ճակատամարտը:
Վարդանանց պատերազմը տեղի ունեցավ 450-451 թվականին, իսկ Ավարայրի ճակատամարտը մայիսի 26 (451թ.)
Պատերազմի պատճառները: Ովքե՞ր էին այս ընթացքում հայկական կողմի ազդեցիկ անձինք:
Պատճառն է եղել կրոնափոխությունը։
, Ներշահ Արծրունու
Ո՞րն է պատերազմ և ճակատամարտ բառերի տարբերությունը: Բացատրել
Ճակատամարտ-Ռազմական գործողություն, կռիվ
Պատերազմ-Որևէ բան ոչնչացնելու՝ վերացնելու համար ծավալված բուռն՝ եռանդագին գործունեություն: Պատերազմ նախապաշարմունքների դեմ
Ինչպիսի՞ ավարտ ունեցավ Վարդանանց պատերազմը:
Հայերը բաժանվեցին 3 խմբի և ցանկացան անակնկալի բերել Պարսիկներին, բայց եղավ հակառակը։
Ով՞ է գրել Վարդանանց պատերազմի մասին:
Եղիշեն
Русский язык
1. Прочитайте текст.
Акулы — это крупныеморские рыбы, главное их оружие — острые зубы. Тело акул вытянутое. Насчитывается около 370 видов акул. Самая маленькая, карликовая акула, имеет в длину всего 15 сантиметров, а китовая акула достигает в длину 13 метров.
Акулы — самые загадочные существа в океане. Их возраст насчитывает десятки миллионов лет. Человек мало знает об этих уникальных созданиях, строя свои знания об акулах на основе фильмов наподобие «Челюсти», в которых страшные хищники нападают на человека.Вот несколько наиболее распространенных заблуждений по поводу акул.
Большинство людей черпает свои знания о подводном мире только с экрана телевизора. Главным охотником за человеком предстает эта кровожадная рыба, ставшая настоящим символом ужаса и страха.
Но так ли это на самом деле? Оказывается, не так уж и страшны эти хищники, как пытаются преподнести авторы фильмов и романов. Крупным белым акулам люди абсолютно невкусны, нападение — всего лишь ошибка, так как хищники путают человека с морскими львами или тюленями. К тому же такая акула живет на глубине, что значительно уменьшаетвероятность встречи. Нападая на человека, акула вырывает кусок мяса, пробуя его. Обычно, поняв свою ошибку, хищник не продолжает атаку. Для человека же велик риск скончаться от потери крови.
Для сравнения — слоны за год убивают вдвое больше, а от укусов собак ежегодно гибнут тысячи людей.
Большинство акул не пережевывают добычу, а заглатывают целиком, главная их пища — вовсе не разная всячина, даже не люди, а кальмары, мелкая и средняя рыба. Про акул известно, что они довольно близоруки, на больших расстояниях мало полагаются на органы зрения.
Ныне 20% видов акул занесены в Международную Красную Книгу. Мясо некоторых видов — отличное кулинарное блюдо, а акульи хрящи используются для приготовления препаратов для успешной борьбы с раковыми заболеваниями. Малоизвестен тот факт, что акулы сами служат пищей другого сильного морского охотника — кашалота, который питается не менее чем двадцатью видами акул. При этом его добычей становятся как маленькие, так и гигантские, весом до полутоны акулы.
2.Ответьте на вопросы.
Что вы узнали об акулах?
Как и другие рыбы, акулы получают необходимое количество кислорода из воды, пропуская её через жабры. Органы дыхания представляют собой жаберные мешки, которые внутренними жаберными отверстиями открываются в глотку, а наружными — по бокам головы на поверхность тела. Для акул характерно наличие 5—7 пар жаберных щелей (в зависимости от вида), расположенных перед грудными плавниками. Жаберные отверстия отграничены друг от друга широкими межжаберными перегородками, в толще которых залегают хрящевые жаберные дуги. Жаберные лепестки сидят на передней и задней стенках жаберных щелей, где они образуют полужабры. Для дыхания характерно противоточное движение крови и водной массы.
3. Напишите о животном которое вам нравится?
Кошка
Самой долгоживущей кошкой является Крим Пафф, которая прожила 38 лет (1967—2005)
У кошек отсутствуют рецепторы сладкого вкуса, поэтому они не ощущают сладкий вкус и не реагируют на сахар.
Существует много вещей, которые вредны кошачьему здоровью. Например, шоколад вреден для кошек, как алкоголь для человека, однако для тайских кошек шоколад — излюбленное лакомство.
4.Закончите предложения, используя слова, данные ниже.
1. В субботу Мария ходила в банк, потому что она хотела обменять деньги.
2. В среду мы пойдём в библиотеку, потому что мы хотим взять новый учебник. 3. Вчера Андрей и Анна были в почте 4. Сейчас я хочу пойти в спортклуб 5. В воскресенье мы ездили на выставку 6. В субботу мои друзья пойдут в спортклуб 7. Наташа идет в кинотеатр «Москва», потому что она хочет посмотреть новый фильм.
Слова: банк, библиотека, почта, выставка, спортклуб, кинотеатр «Москва».
5. Выберите один из вариантов.
1. Кто сьел из моей тарелки? (ел — съел) 2. Кто ел всё печенье? (ел — съел) 3. Кто лёг на мою постель и всю её смял? (ложился — лёг) 4. Кто это ложился на мою постель? Вставай сейчас же! (ложился — лёг) 5. Кто это садился на мое место? Вставай! (садился — сел) 6. Кто сел на мой стул и сломал его? (садился — сел) 7. Почему телевизор не работает? Кто включал телевизор? (включал — включил) 8. Иди смотреть новости: я включил телевизор! (включал — включил) 9. — Дверь заперта? — Всё в порядке, я закрывал дверь на ключ. (закрывал — закрыл) 10.— Почему дверь не заперта? — Не знаю, я закрыл её. (закрывал — закрыл) 11. — Ты без очков? — Да, я снимал очки. (снимал — снял) 12. — Ты весь день в очках? — Нет, снял, когда глаза устали. (снимал — снял).
6.Ответьте на вопросы.
1. Где много деревьев? (в саду)
2. Где стоит шкаф? (в углу)
3. Где находится Гостиный двор? (на углу Невского и Садовой)
4. Где вы были? (в аэропорту)
5. Где можно стоять и фотографировать? (на мосту)
6. Где конфета? (в ворту)
7. Где можно собирать грибы? (в лесу)
7. Ответьте на вопросы.
1. Когда (в каком году) вы родились?
Я родился в 2008 году
2. Когда вы начали учиться в школе?
Я начал учиться в школе 6 лет
3. Когда вы закончили школу?
Я пока не закончил школу.
4. Когда вы узнали, что вы можете поехать учиться в Беларусь?
Я не знал об этом.
5․Когда вы начали учиться в университете?
Я ещё не начал учится в университете.
6․ Когда у вас будут экзамены?
Экзамены будут в июне.
7. Когда у вас будут летние каникулы?
Летние каникулы будут в июне.
8.Используя слова, данные в скобках, составьте предложения по образцу.
Образец: Вчера мы были в клубе. – … (театр)
А мы были в театре.
Вчера мы были на выставке. – А мы были в концерте (концерт)
В субботу мы были на дискотеке. – А мы были в ресторане (ресторан)
В воскресенье мы были на стадионе. – А мы были в бассейне (бассейн)
Летом мы были в Индии. – А мы были в Шри-ланке (Шри-
Հայոց լեզու
1. Ընդգծված բառակապակցությունները մեկական բառերով փոխարինի՛ր:
Վանա լճի մոտ շրջանում (շրջակայքում) ընկած Ռշտունյաց լեռները հայտնի էին պղնձի, կապարի, երկաթի հանք ունեցող վայրերով (հանքավայրերով), որոնք բազմաթիվ անգամներ (բազմիցս) հիշատակվել են հայկական ձեռքով գրված գրքերում (ձեռագրերում): Բրոնզի ու երկաթի դարերի շրջաններից (դարաշրջաններից) սկսած՝ հայկական լեռնոտ աշխարհում (լեռնաշխարհում) արդյունահանվում ու ձուլվում էին տարբեր մետաղներ, որը պատճառ էր դառնում, որ հանվող նյութերի անունները դառնային տեղերի անուններ:
Հետագայում հնէաբանությամբ զբաղվող գիտնականներն (հնագետները) ու երկրաբանությամբ զբաղվողները (երկրաբանները)այդ անվանումների միջոցով հայտնաբերում էին լեռներում գտնվող լքված փորված տեղեր (փոսեր) ու մետաղ ձուլելու տեղեր (ձուլարաններ):
2. Փակագծում տրված բառերը դի՛ր պահանջվող թվով:
Սպիտակ արագիլը ( արագիլ
աշխարհում (աշխարհ) շատ տարածված թռչուն (թռչուն) է: Հայաստանում շատ է հանդիպում Եղեգնաձորի, Վայքի և Աշոցքի շրջաններում (շրջան): Չվող թռչուններ (թռչուն) են՝ կտուցներն (կտուց) ու ոտքերը (ոտք)՝ վառ կարմիր: Բնակվում են զույգերով (զույգ) ու գաղութներով (գաղութ): Բները (բույն) տեղադրում են շենքերի (շենք) տանիքներին (տանիք), մետաղյա կամ բետոնե բարձր սյուներին (սյուն) և նման այլ տեղերում (տեղ): Մարդիկ (մարդ) սիրում են նրանց թռիչքի (թռիչք) հանգստությունը (հանգստություն), թևերի (թև) խոր թափահարումը (թափահարում):
3. Բառակապակցությունների բառերն արտահայտի՛ր բառերով:
մարդկանց հավաքական ամբողջություն (շատ մարդիկ միասին) – ժողովուրդ, ամբոխ
աշակերտների ամբողջություն — դասարան
զինվորների ամբողջություն – զորք
շատ դեղեր – դեղորայք
ծնողներն ու զավակները միասին – ընտանիք
ուսանողների ամբողջություն – ուսանողություն
Երկրաչափություն



Կենսաբանություն
Մերկասերմեր

Մերկասերմեր, բույսերի թագավորության 13—14 բաժիններից մեկը։ Սերմերը զարգանում են կոներում։ Ժամանակակից բոլոր տեսակները փայտատու բույսեր են, որի գերակշռող մասը ծառերն են, թեև կան նաև թփեր։ Տիպիկ ներկայացուցիչներն են՝ մայրի, նոճի, փշատերևազգիներ, գիհի, խեժափիճի, եղևնի, սոճի, սեքվոյա, Կենի և Agathis australis։ Մերկասերմերը վայրի ձևով աճում են աշխարհի գրեթե բոլոր տեղերում։ Հաճախ այս բույսերն աճում են այլ բուսատեսակների կողքին, օրինակ՝ այնպիսի բիոմներում, ինչպիսին է տայգան։ Մերկասերմերի փայտը ներառվում է «փափուկ» տեսակի մեջ։
Գրականություն
Տնային աշխատանք
1.Բացատրի՛ր . ինչպե՞ս ես հասկանում: Ես հասկացա, որ աշնան մեղմ արևի մեջ ամեն ինչ թախծոտ ու գեղեցիկ է և միակ տգեղը ես եմ, որովհետև ձևացնում եմ, թե գրքի պատճառով չէի ուզում մեր խոզերը փնտրելու գնալ։
Տղան ուզում է ասել, որ նա բնության նման պարզ և մաքուր չէ, որովհետև ձևացնում էր, որ կարդում է, այնինչ պարզապես չէր ուզում օգնել հորը գտնել խոզերին։
2. Բացատրի՛ր վերնագիրը:
Պատմվածքը կոչվում է <>, որովհետև ամեն մի մարդ իր հացի փողը, պետք է ազնիվ աշխատի։
3. Բնութագրի՛ր տղային՝ մեջբերելով համապատասխան հատվածներ պատմվածքից:
Միակ տգեղը ես եմ, որովհետև ձևացնում եմ, թե գրքի պատճառով չէի ուզում մեր խոզերը փնտրելու գնալ։
4. Բացատրի՛ր բառերը՝ քիվ, ակ, գողունի, կլանչոց, կածան, խաշամ, տիղմ:
քիվ-հորիզոնական ելուստ, որ դուրս է ձգվում պատի վերին մասից կամ պատուհանների ու դռների վերևից
ակ-Ջրի ակունք
Գողունի-Գողացված, գողությամբ ձեռք բերված:
կլանչոց-Շան աղիողորմ հաչոց, կաղկանձյուն
կածան-Ոտքի նեղ ճանապարհ, արահետ, շավիղ
խաշամ-խաշամի,Նույնն Է՝ Խազալ:
տիղմ-Հանքային կամ օրգանական նյութերից առաջացած կպչուն նստվածք ջրերի (ծովերի, գետերի, լճերի) հատակին կամ ճահիճներում:
5. Ինչո՞ւ էր հոր համար կարևոր, որ տղան գիրք կարդա և լավ սովորի:
հոր համար կարևոր էր, որ տղան լավ սովորի, որովհետև նա ուզում էր, որպեսզի իր տղան ունենա լավ աշխատանք։
Հայոց լեզու
Դասարանում
Ընտրի՛ր վերնագրերից մեկը, գրի՛ր շարադրություն
-
Անձրևից հետո
-
Մենք 21-րդ դարում ենք ապրում
-
Ապագան սկսվում է այսօր
-
Հասարակական կարծիքը նաև սխալ է լինում
-
Արվեստի ազդեցությունը մարդու վրա
Անձրեցից հետո
Սիրում եմ աշնային ու գարնանային գիշերների անձրևը` փոփոխական, երբեմն սպասված, հաճելի, լուսնային, հանգստացնող, ցուրտ, երկարատև, մտածելու տեղիք տվող անձրևը: Սրա հետևանքը երևում է առավոտյան, երբ պատուհանից նայում ու տեսնում եմ ինչ-որ ջրափոսեր, որոնք ցամաքում են մի քանի օրվա ընթացքում: Իսկ մինչ այդ ինչքան ուզում ես ման արի ջրերի միջով (սիրածս «մասնագիտությունն» է): Ոչ ոք քեզ ոչինչ չի ասի, որովհետև այդ «ասողն» էլ է ստիպված քայլում նույն տարածքով: Երբ անձրև է գալիս իր հետ բերում է բոլորի մուսան: Ու բոլորը սկսում են ստեղծագործել հենց այն ժամանակ, երբ անձրև է գալիս: Այդ սովորությունը, կարծում եմ` ինձ չի վերաբերում, բայց ծանոթներիցս շատերն են ասել այդ մասին:
Հանրահաշիվ
Դասարանական և տնային աշխատանք



Еnglish
Homework
Ex.b,p.33
Regular verbs
Changed
Called
Played
Missed
Wanted
Arrived
Irregular verbs
Saw
Thought
Got
Came
Gave
Bought
Became
Made
Ex. C,p.33
Complete the summery. Use the past simple form of the verbs.
There was (be) a table tennis championship in Japan in 1971. An American and a Chinese players played (play) together for fifteen minutes. The American missed (miss) his bus, but the Chinese players invited (invite) him onto his bus. The Chinese player gave (give) the American a present. The American was (be) happy, and he wanted (want) to give a present back. They became (become) friends. In the same year, the American President went (go) to China for a historic visit.
Ex.d,p.33
Look at the examples and complete the table.
Did the Chinese players talk to Cowan? No, they didn’t.
Did Cowan and Zedong become friends? Yes, they did.
Question
Did I/you/he/she/it/we/they go?
Short answers
Yes, I/you/he/she/it/we/they did.
No, I/you/he/she/it/we/they didn’t.
Ex.e,p33
Put the words in the correct order to make questions.
1. Did you go out last night?
2. Did you listen to music on Sunday?
3. Did you eat eggs for breakfast this morning?
4. Did you watch TV last night?
5. Did you go on Holiday last year?
Հանրահաշիվ


Հայոց լեզու
Տնային աշխատանք
1.Սկզբից տասը— տասներկու նախադասություն ավելացրո՛ւ, որ ամբողջական տեքստ դառնա:
Երկար ժամանակ էր պլանավոր էլ էի օդապարիկով թռչել:Երկար ժամանակ պահանջվեց, որպեսզի համարձակությունս հավաքեցի և իրագործեցի ցանկությունս:Մասնակցեցի օդապարիկի թռիչքի պատրաստմանը:Վերջապես եկավ սպասված օրը:Թռիչքը որը տեվում է 4-5 րոպե ինձ թված հավերժություն:վախը խառնվել էր ադրենալինի հետ:Բառերով անհնար է նկարագրել զգացածը:Այնպիսի տպավորություն էր, որ հավերժ մնալու եմ օդում:Մի պահ ժամանակը կանգ էր առել:
Վերջապես ոտքիս մատներով շոշափեցի հողը, փորձեցի քայլ անել ու ընկա: Օդապարիկը փլվեց վրաս: Մի քիչ մնացի այդպես, հողին ձուլված, նրա մասը դարձած: Կամաց—կամաց սկսեցին ձայներ մոտենալ: Կարոտին ու վերադարձի ուրախությանը ինչ—որ մեղմ ու խոր տխրություն խառնվեց:
2.Տեքստը կարդա՛ և քարի վրա պայմանագիր ստորագրելու արարողությունն այնպես նկարագրի՛ր, որ հավաստի հնչի (փորձի՛ր պահպանել պատմական կոլորիտը, արարողության հանդիսությունը , մասնակիցների հագուստ—կապուստը, զենք ու զրահը և այլն):
Ժնևում, ՄԱԿ—ի թանգարանում, ի թիվս բազմաթիվ այլ ցուցանմուշների, աշխարհում առաջին խաղաղ դաշնագիրն է պահվում: Այդ եզակի «փաստաթուղթը» մեր թվարկությունից առաջ 1290 թվականին է կազմվել, «ստորագրել են» եգիպտական փարավոնը և խեթերի թագավորը: Դաշնագիրը քարի վրա է փորագրված և տեքստի տակ ստորագրության փոխարեն երկու տիրակալների անձնական խորհրդանիշներն են քանդակված:
1290(մ.թ.ա)թ.-ին եգիպտական փարավոնը իր շքեղ հագուստով և խեթերի թագավորը իր զենք ու զրահով ստորագրության փոխարեն խաղաղության դաշնագիր են փորագրել քարի վրա:Արարողության հանդիսությանը ներկա են եղել մի շարք պալատականներ:Ստորագրության փոխարեն 2 տիրակալների անձնական խորհրդանիշներն են քանդակված: