Տնային աշխատանք
1.Տրված ենթակայական դերբայներով նախադասություններ կազմի՛ր այնպես, որ դրանք ո՞ր հարցին պատասխանենԳրող, կառուցող, ներող, բարձրացող,հիացող
Հայտնի գրող Հովհաննես Թումանյանը ուներ շատ հեքիաթներ և պատմվածքներ
2.Ընդգծված հարակատար դերբայները դարձրո՛ւ դիմավոր բայեր. Դիմավոր ձևերը ո՞ր դերբայով կազմվեցին:
Օրինակ`
Վաղուց հերքված վարկածը— վարկածը, որ վաղուց հերքվել էր:
Ցանքերի համար վտանգավոր դարձած անձրև-, մառախուղով պատված լեռնագագաթներ-լեռնագագաթը,որ պատված էր մառախուղով, ճանապարհորդի նկարագրած ջրվեժը-ջրվեժը,որ ճանապարհորդի նկարագրածն էր, դժվարին կացության մեջ ընկած մարդ-մարդը,ով ընկած էր դժվարին կացության մեջ,գիշերները մեր այգին այցելածչորքոտանին-, անտառից սկիզբ առած վտակ-վտակը,որ սկիզբ էր առած անտառից:
3.Ընդգծված ենթակայական դերբայները դարձրո՛ւ դիմավոր բայեր. դիմավոր ձևերը ո՞ր դերբայով կազմվեցին:
Օրինակ Հերքվող վարկած— վարկած, որ հերքվում էր:
Գիշերները մեր այգին այցելող չորքոտանի, անտառից սկիզբ առնող վտակ, դժվարին կացության մեջ գտնվող մարդ, ցանքերի համար վտանգավոր դարձող անձրև,մառախուղով պատվող լեռնագագաթներ, ջրվեժը նկարագրող ճանապարհորդ:


















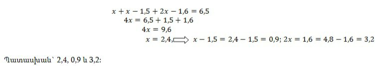
362ա)
գ)
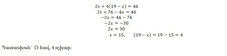
363ա)
գ)
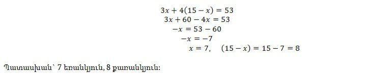
364ա)

















